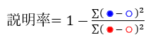
相関係数計算(説明率) シミュレーション
データ数:
補助線
= r
2
保存
コピー
消去
伸▼
▲縮